OpticsCalc Logo  OpticsCalc: Depth of Focus / Depth of Field


Description

The Depth of Focus page computes the depth of focus and depth of field for an optical system. It also computes the object space blur and hyperfocal distance as well as the Resolution and Depth of Focus for a diffraction limited optical system with the same first order characteristics.

Input Parameters

The input parameters are the desired blur size (in a digital camera this might be the size of a pixel), the focal length of the lens, the object distance in meters, the wavelength of the light in nanometers and finally you must enter either the f number, the lens numerical aperture or the aperture diameter. You will notice that when you enter any of the values on the last line, the other two will update automatically. When you are entering your data, please note the units.

Note that this is an automatic calculation pane so the results are updated instantaneously.

Depth of Focus / Depth of Field Calculation Page

Geometric Ouput Results

Geometric depth of field and depth of focus are computed based lens parameters and a target you provide for the circle of confusion. The circle of confusion is selected as the maximum tolerable blur spot in the image plane. This can be determined by a number of factors. In the case of a film camera it is either the resolution of the film (typical in the case of fast film) or the resolution of the lens. In the case of a digital camera it may be the size of a pixel on the detector. Another method for determining the allowable cicle of confusion is to work backwards from the resolution of the eye and how the viewing distance. Knowing how the image will be reproduced you can translate this resolution back to the camera image.

Once the size of the circle of confusion is known, the geometrical properties of the lens and the location of the object can be used to compute the range of distances in object space which will be in focus in the image plane.

Depth of Field - The Depth of field values refer to the object space and they are given in meters. Both the near and far focus are given. If the far focus extends to infinity then INF is reported. Depth of field is of particular interest to photographers to determine the proper f# to make sure that your subject(s) are in focus and that unwanted objects are out of focus.

Depth of Focus - The depth of focus is the range around the focal plane for which an object at a fixed distance will be in focus. This information is useful for camera an instrument designers to to specify how flat and well positioned the film or detector plane must be positioned in order to assure sharp focus.

Hyperfocal Distance - The hyperfocal distance is of particular interest to photographers. This is the closest you can set the focus of your lens and still maintain focus out to infinity. If you enter your lens parameters and (object distance is not used for this computation) then take the resulting hyperfocal distance and type it into the Object Distance box you will notice that the Far Focus position will be either at, or very close to infinity. The near focus position now tells you the closest oobject which will be in focus.

Object Space Blur - The size of the circle of confusion when project onto the object. In other words, this is the smallest object you can resolve in your scene.

Diffraction Output Results

The diffraction results are the resolution and depth of focus for your optical system if you assume that the optics are perfect, or diffraction limited. You can never do better than the diffraction limit. These values are important for engineers and scientists who are designing optical system and need to know the best resolution possible for a given wavelength and set of lens parameters. They are also important as a cross check for your geometric results. In particular, your blur size can never be smaller than the image resolution given under Diffraction Results.

Resolution - The image and object resolution are the diffraction resolutions in image and object space. These values are dependent on the distance from the lens to the plane of interest (object or image) (d), the aperture size (A) and the wavelength () using the following equation:



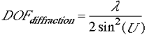
Depth of Focus - There is also a specific method for computing the depth of focus for diffraction limited systems. For those who are interested the equation for the diffraction depth of focus is:


Where U is the half angle subtended by the lens
as seen from either the object or image plane.




Table of Contents  |  Previous  |  Next

Diffraction Limited Design LLC  •  Southington, CT  •  06489

Phone: (860) 276-0450  •  Fax: (860) 620-9026  •  e-mail: btruax@dld-llc.com

dld-llc.com